Skip to main content

Replicate: FIRMA when using RLM and median polish

Author: Mark Robinson
Created on: 2009-03-28
Last updated: 2009-10-21

Christian Stratowa had been asking some questions about whether FIRMA (Purdom, Simpson, Robinson, Conboy, Lapuk, and Speed, 2008) could be used with median polish estimates (as opposed to the current standard of using affyPLM -- robust linear model -- estimates). He has written some test code to implement FIRMA based on either and compared the results. I have shared his code (tidied up by Henrik Bengtsson) and results below:

firma <- function(m, method=c("rlm", "mdp")) {
## function to compute FIRMA scores (adapted from aroma.affymetrix)
## m:      dataframe containing normalized probe intensities (linear
scale)
##         with 1.column containing the transcript_cluster_id
##         and 2. column containing the corresponding probeset_ids
## method: fitting model, one of "rlm" or "mdp"
  require("matrixStats") || throw("Package not loaded: matrixStats")

  # Argument 'method':
    method <- match.arg(method)

  ## convert expression levels to log2
  y <- as.matrix(log2(m[,3:ncol(m)]))

  ## dimensions
  K <- nrow(y)   # number of probes
  I <- ncol(y)   # number of arrays

  ## fit log-additive model
  if (method == "rlm") {
     fit <- .Call("R_rlm_rma_default_model", y, 0, 1.345,
                  PACKAGE="preprocessCore")
  } else if (method == "mdp") {
     mp <- medpolish(y, trace.iter=FALSE)
     fit <- list(Estimates = c(mp$overall + mp$col,  mp$row),
                 StdErrors = rep(0, length(c(mp$row, mp$col))))
  } # if

  ## extract parameters
  est <- fit$Estimates
  se  <- fit$StdErrors

  ## chip effects
  beta <- est[1:I]

  ## probe affinities
  if (K == 1) {
     ## if only one probe must have affinity=1 since sum constraint
     alpha <- 0
  } else {
     ## affinities sum to zero (on log scale)
     alpha <- est[(I+1):length(est)]
     alpha[length(alpha)] <- -sum(alpha[1:(length(alpha)-1)])
  } # if

  ## estimates on the intensity scale
  theta <- 2\^beta
  phi   <- 2\^alpha

  ## calculate residuals
  phi   <- matrix(phi,   nrow=K, ncol=I, byrow=FALSE)
  theta <- matrix(theta, nrow=K, ncol=I, byrow=TRUE)
  yhat  <- phi*theta
  eps   <- (2\^y) / yhat  # RMA uses y/yhat

  ## estimate of standard error
  z <- log2(eps)
  z <- unlist(z, use.names=FALSE)
  u.mad <- mad(z, center=0)

  ## get probeset_ids
  id <- unique(m[,2])

  ## FIRMA scores
  fs <- sapply(id, function(unitName) {
    rr <- which(m[,2] == unitName)
    z <- eps[rr,,drop=FALSE]
    z <- log2(z) / u.mad
    colMedians(z)
  })
  fs <- t(fs)
  rownames(fs) <- id

  fs
} # firma()

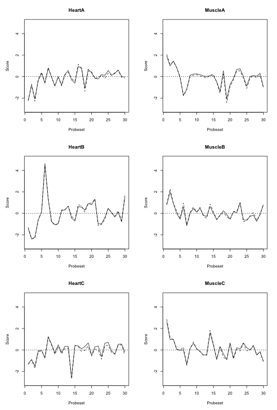
Then the following commands will give the image below.

library("preprocessCore")
score.mdp <- firma(unr, "mdp")
score.rml <- firma(unr, "rlm")

par(pty="m", mfcol=c(3,2), mar=c(5,5,4,2))
for (ii in 1:6) {
  plot(score.rml[,ii], type="l", ylim=c(-3,5),
       main=colnames(score.rml)[ii], xlab="Probeset", ylab="Score")
  abline(h=0, lty=3)
  lines(score.mdp[,ii], lty=2)
}

Figure: FIRMA scores for 30 probesets when using RLM (solid) and median polish (dashed) estimators to fit the FIRMA model.

References

[1] E. Purdom, K. M. Simpson, M. D. Robinson, et al. "FIRMA: a method for detection of alternative splicing from exon array data". Eng. In: Bioinformatics (Oxford, England) 24.15 (Aug. 2008), pp. 1707-14. ISSN: 1367-4811. DOI: 10.1093/bioinformatics/btn284. PMID: 18573797.

[2] H. Bengtsson, P. Wirapati, and T. P. Speed. "A single-array preprocessing method for estimating full-resolution raw copy numbers from all Affymetrix genotyping arrays including GenomeWideSNP 5 & 6". Eng. In: Bioinformatics (Oxford, England) 25.17 (Sep. 2009), pp. 2149-56. ISSN: 1367-4811. DOI: 10.1093/bioinformatics/btp371. PMID: 19535535.